2023-06-16
在颜色的测量过程中,观察者的视觉生理条件、外界照明条件和观察条件等,都会对颜色测量的结果造成影响,为了统一颜色的度量条件,CIE对颜色测量的条件进行了标准化的规定。本文对颜色测量的标准条件及颜色测量的基本方法做了介绍,感兴趣的朋友可以了解一下!

光源照明是物体颜色测量的必要条件,同一物体在不同光源照明下将会出现不同的颜色。CIE针对这种情况,定义了标准照明体及标准光源,使得颜色测量过程中能保证测量环境的统一,从而保证整个颜色评价系统的统一。表示光源的颜色特性主要有两个量,首先是光源的相对光谱功率分布,其次是光源的色温及相关色温。CIE15:2004根据对自然光及其他相关光源的研究,推荐了几种常见的标准照明体及照明光源。
标准照明体A:指与热力学温度T=2856K的黑体具有相同相对光谱功率分布的照明体。相对应标准光源以色温为2856K的溴钨灯为代表。
标准照明体D65:指相关色温为6504K典型日光的光谱功率分布,对应标准光源以加上滤波片的高压氙灯来实现。
当对样品进行颜色测量时,测得的光谱数据由光源光谱功率分布,物体光谱反射率等决定,其中当观测角度与照明角度发生变化时,得到的数据与我们时间观测的结果都有差别,所以CIE推荐了10种测量反射样品时的标准照明及观测条件。下面选取几种较常见,有代表性的简单介绍。
1.di:8°:漫射照明、8°方向接收,不排除镜面反射。样品被积分球在所有方向上均匀的漫射照明,照明面积应大于被测面积。接收光束的轴线与任一光线之间夹角不超过5°。示意图见图a。与其类似的照明与观测条件有de:8°;8°:di;8°:de;d:d等。上述几种条件的几何条件均相同,只是在是否排除镜面反射及光路方向上有差别。
2.d:0°:漫射照明、0°方向接收,排除镜面反射。样品被积分球漫射照明,在样品的法线方向接收。示意图见图b。
3.45°a:0°:45度环形照明,0度方向接收。样品被环形圆锥光束均匀照明,环形圆锥的轴线在样品法线上,顶点在样品中心,内圆锥角半角40。,外圆锥角半角 50°。其示意图见图c。
4.45°x:0°:45度定向照明,0度方向接收。只有一个照明方向,x代表照明的方位,在法线方向接收。示意图见图d。

迄今为止,颜色测量有三种方法:目视法、光电积分法(三刺激值)和分光光度法。各种测量方法的原理及目前发展状况如下。
1.目视色度计
目视色度计是利用人的视觉去调节两个视场(或一个视场的两半)的颜色和量度达到匹配的一种仪器。观察者通过视觉观察,将比较光的颜色和亮度调节成与待测光相比。由于构成比较光的各原色的色度坐标是已知的,因而根据色度计各原色光的读数就可以计算待测颜色光的三刺激值和色度坐标。
典型的目视色度计是我国色度学工作者设计的一种双积分球目视色度计。
新型的目视色度计有日本FS-400D,Lovibond SVS-2000等。
2.光电积分测色仪
光电积分法是通过把探测器的光谱响应匹配成所要求的CIE标准色度观察者光谱三刺激值曲线,或某一特定的光谱响应曲线,来测量光谱功率。用光电积分法测色时,通常用滤色片拟合国际照明委员会CIE标准色度观察者光谱三刺激值曲线。
光电积分测色仪包括色度计和色差计。我国从上世纪80年代初开始研制这类仪器,如三恩时的TS7000、TS7010、TS7020、TS7030等。彩色亮度计也是一种光电积分式仪器,通过望远镜系统对远距离目标进行颜色参数测量。光电色度计测色速度快,但没有分光光度计的测试精度高。
3.光谱光度测色仪
分光测色仪是颜色测量最基本的仪器,它是测量光源相对光谱功率分布(测量光原色)或物体的光谱反射和光谱透射特性,即测量物体的光谱反射比或光谱辐亮度系数和光谱投射比(测量物体色),再选用CLE推荐的标准照明体和标准观察者的标准数据,通过积分计算求得颜色的三刺激值。
目前已制成自动化、智能化的分光测色仪。如三恩时公式生产的TS系列、ST系列、YS系列便携式分光测色仪和TS系列台式分光测色仪。
根据色度学的介绍,我们知道一个物体的颜色可以用它的三刺激值和色坐标来表示,目前常用的颜色表色系统是XYZ表色系统,根据色度学的X、Y、Z三刺激值的计算公式,我们知道要计算出颜色的三刺激值,需要测量的量就是待测样品的光谱反射率。一般来说可以采用比较法来测试光谱反射率。所谓比较法就是通过定量的比较已知光谱特性的标准件和待测样品在同一波长处的反射的单色光功率,就可以得到待测样品的光谱反射率,从而进行计算得到三刺激值。具体的测试和计算方法如下:
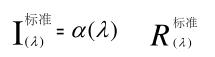
首先对光谱反射率R标准(λ)已知的标准白板进行测量,得到其光电流谱I标准(λ),则有:

式中α(λ)为系统的光谱特性参数。
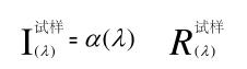
在测量待测样品,得到其光电流谱I试样(λ),又有:

两式相除,就得到待测样品的光谱反射率R试样(λ):

通过上面的计算过程,我们可以看出系统的光谱特性参数 α(λ)(测试仪器产生的所有影响),在最后一部被消除,也就是说它不会对测量结果产生影响,即使外部因素的影响使得系统的光谱特性参数发生了变化,在比较法的测量中也会被完全消除。由此可见采用比较法的优越性。
得到了待测样品的光谱反射率之后,利用下式就可以计算得出颜色的三刺激值:

式中S(λ)是光源光谱分布,K是归一化常数。

然后,由XYZ的值就可以计算出色坐标和其他颜色参数。
色差仪a/△a、b/△b值怎么分析?什么关系?
2026-02-06
颜色表示系统之中国颜色体系是怎么表示颜色的?
2026-02-04
YS4560 plus分光测色仪测硅胶色差告别凭眼猜色差
2026-01-30
标准光源箱TL84荧光标准光源光谱是怎样的?
2026-01-28
扫描二维码分享到微信