2023-09-20
什么是光源的光通量?光源在单位时间内发出的光量称为光源的光通量,在光度学中,光通量是从辐射通量导出的量,它明确地定义为能够被人眼视觉系统所感受到的那部分辐射功率的大小的量度,单位为lm(流明)。那么,标准光源的光通量是多少?下文为大家进行了介绍,对光源光度参数感兴趣的朋友可以了解一下!

光通量是用来衡量一个光源所发出的光的多少的物理量。简单说来,人眼对于视觉明暗程度的感受就是所谓的光通量。光源向着空间中所有的方向辐射光能,单位时间内通过空间中的某一截面的辐射能就叫通过这一截面积的辐射能通量。由于各色光的频率不一样,导致人眼对于各色光的敏感程度也就不同,在人眼所能看到的各色光中,黄绿色光的波长最能够引起人们的最大明亮感觉。
通常的情况下,对于相同类型的光源,它的功率越大那么其光通量就越大;但是对于不同类型的光源来说,即便是它们的功率相等,也不一定具有相同的光通量,有时它们的差距可能还不小。例如,对于相同功率的白炽灯和荧光灯来说,荧光灯的光通量甚至可以达到白炽灯的6倍以上。
光通量的单位是“流明”,英文写作lm,是光源在单位时间内所发出的光能量的总和,符号用Φ表示,流明lm是国际单位体系的光通量单位。光通量的物理表达式为:

其中,K称为光敏度或感光度,一般人眼对于彩色的感知能力K=683.002lm/W;λ是光波的波长;V(λ)称为人眼对于光谱敏感度曲线,也称作明视觉函数曲线,如下图所示,描述了人眼对于不同波长的光的反应强弱。

对于标准光源的光通量,目前还没明确的相关规定。当然如果标准光源的光通量过低,那么光线暗淡,人们的对色效果也不好,反之,标准光源的光通量过高,就会让被测物体表面产生强烈的反射光线,也不利于颜色的观察。所以标准光源的光通量应该保持在合适的范围内。
根据ISO3664:2000对标准光源的相关要求规定,标准光源光照强度必须符合以下条件:
光源通过反射照射在被观察物体表面上的亮度应达到2000Lux(+/-500Lux)。被照表面在1m×1m的范围内,任一点的照度不得低于被照表面中心照度的75%。
光源通过透射照射在被观察物体表面上的亮度应达到1270cd/m2(+/-320cd/m2)
显示器的亮度应达到>75cd/m2。
虽然没有明确指出标准光源的光通量,但是用户可以根据照度要求,反推出标准光源的光通量要求。
照度表示被照面上接受的光的强弱,是单位面积上所得到的光通量。
如果要想求出距离一个光源rm处的光照度,可以设想一个以光源为中心、半径为rm的球面,球面内侧接受的光通量是均匀的,这个球面的面积A为A=4π·r2,照度 E等于光通量除以面积,即E=Фv/A=Фv/4π·r2(lx)。
例如,一个发光强度为1cd的点光源,均匀发出的光通量为4πlm,距离这个点光源1m位置的照度为1lx。距离这个点光源2m位置的照度则为(1/4)lx。
反之,如果已知照度E和被照面积A,也可以求出光通量Фv=EA,光通量等于照度乘以面积。如果被照面积上照度是不均匀的,可把被照面积划分为多个小面积△A1……△An,测出每个小面积上的照度E1……En,用近似公式计算,即每个小面积与其上的照度相乘,再全相加得到光通量。
如果划分的n个小面积其面积全相等,则:Фv=A [(E1+……+En)/n]。
这是常用的计算投影机光通量的方法,平均照度乘以投影面积。例如,如果平均照度为1000lx,投影面积为3m2,简单相乘可知光通量为3000lm。
光源的发光强度是光度学中的基本量,而且由发光强度可以导出其他光度量。但要表征光源的特性,单以光源的发光强度来表示是不完全的,这是因为一般光源在各个方向上的的发光强度并不一致,故只有用总光通量来说明更为合适。
对各向同性的点光源,其光通量Φ=4πI,所以只要测得发光强度,乘以4π,即为光通量Φ。但是实际光源都有一定的尺寸,而且在各个方向上又不均匀,故不能用Ф=4πI计算得到。
光通量的测量方法:在积分球内用已知光通量的标准灯与被测灯作比较测量,从而定出被测灯的光通量。
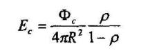
用积分球测量光通量,通常采用比较法(代替法),为此需要光通量标准灯。先将标准灯(其光通量为Φs)放入积分球内,点燃后,在窗口测得的照度Es应符合下列式子:

放入待测灯点然后,可测得的照度为Ec为:

比较以上两个式子,可得待测灯的光通量为:

采用比较法测量光通量可以大为减少由球壁漫反射层的不均匀性、球壁涂料和窗口材料的非中性(即涂料的漫反射比和窗口的透射比与波长有关)等因素造成的影响,但是不能消除由于标准灯的尺寸和结构与待测灯的不相同而造成的对球内壁漫射光的吸收情况不同的影响,也不能消除标准灯与待测灯的相对光谱功率分布及空间分布不同产生的影响等等,在测量时应考虑采取修正的办法。
色差仪a/△a、b/△b值怎么分析?什么关系?
2026-02-06
颜色表示系统之中国颜色体系是怎么表示颜色的?
2026-02-04
YS4560 plus分光测色仪测硅胶色差告别凭眼猜色差
2026-01-30
标准光源箱TL84荧光标准光源光谱是怎样的?
2026-01-28
扫描二维码分享到微信