2025-05-28
光电积分法是颜色测量中比较常见的一种方法,它是在整个测量波长区间内通过积分测量所获得的物体的三刺激值,然后由此计算出物体颜色的色品坐标等参数。使用光电积分法的仪器,一般被称为光电积分式测色仪。本文对光电积分法及光电积分式测色仪器的设计原理做了介绍。

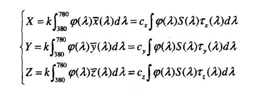
光电积分法不是测量某一波长的色刺激值,而是在整个测量波长区间内,通过一次积分测量得到样品的三刺激值X、Y、Z,再由此计算出样品的色品坐标等色度评价参数。由色度学的三个基本方程求得样品颜色的三刺激值X、Y、Z为:

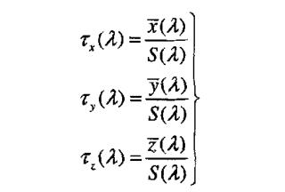
式中,k为归一化系数,而x(λ)、y(λ)、z(λ)是CIE标准色度观察者光谱三刺激值函数,选用不同的标准色度系统如CIE1931或CIE1964,其值也应选用相应不同视场(2°或10°)的光谱三刺激值数据。通常用滤光片覆盖在探测器上,把探测器的相对光谱灵敏度S(λ)修正成CIE推荐的光谱三刺激值x(λ)、y(λ)、z(λ)。滤光片的光谱透射比τx(λ)、τy(λ)、τz(λ)必须满足如下的光谱匹配关系,即卢瑟条件:

在测得色样的三刺激值X、Y、Z之后,可以进一步计算出颜色的CIE色品坐标(x,y)、L*、a*、b*等色度参数。这类仪器测量速度快,实时性好,也具有适当的测量精度。
根据色度学原理,颜色的定量表示是根据这个颜色所占三刺激值的多少确定的,用三刺激值X、Y、Z或X10、Y10、Z10以及相应的色品坐标x、y、z或x10、y10、z10表示。光电积分测色仪器用于测量非荧光物体表面色及色差。仪器由照明系统、探测系统及数据处理系统三大部分组成,其输出结果即为三刺激值X,Y,Z(或X10,Y10,Z10),经计算得出色品坐标x,y或其它色参数。
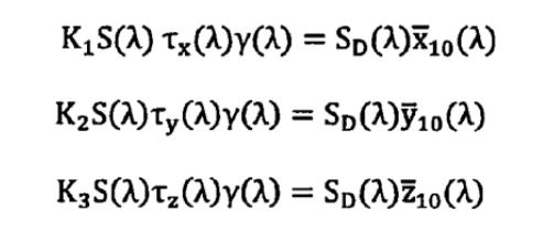
按CIE所推荐的测色原理,仪器的光谱响应应符合下式的关系:
对于D65/10°:

式中:
S(λ)为仪器光源的相对光谱功率分布;
SD(λ)为标准照明体D65的相对光谱功率分布;
K1、K2、K3为与波长无关的常数;
τx(λ)、τy(λ)、τz(λ)为仪器中滤光片的相对光谱透射比;
x10(λ),y10(λ),z10(λ)CIE1964标准观察者光谱三刺激值;
γ(λ)仪器探测器未加修正滤光器前的相对光谱响应度。
通常把满足光谱响应公式的测色条件称作卢瑟条件。仪器符合卢瑟条件的程度,决定着仪器测色准确度。
色差仪a/△a、b/△b值怎么分析?什么关系?
2026-02-06
颜色表示系统之中国颜色体系是怎么表示颜色的?
2026-02-04
YS4560 plus分光测色仪测硅胶色差告别凭眼猜色差
2026-01-30
标准光源箱TL84荧光标准光源光谱是怎样的?
2026-01-28
扫描二维码分享到微信