2025-07-04
色温是光源重要的颜色指标,主要用于描述光源的颜色成分,其单位是开尔文,用°K(或K)为符号,色温还有一个单位微倒值(MRD),又叫麦瑞德值。不同的光源由于光谱分布的不同,其光色就会有所差异。那么,色温怎么计算?色温感觉怎么表示?本文为大家做了介绍。

当实际光源的光谱成分与完全辐射体(也称绝对黑体)在某一温度时光谱成分一致或接近,就用完全辐射体的温度来表示实际光源的光谱成分。根据定义我们知道色温就是任何光线的色温是相当于上述黑体散发出同样颜色时所受到的“温度”,只是一个对应值。当黑体加热相当于500~550摄氏度时,就会变成暗红色(某红色波长的辐射强度最大),达到1050~1150摄氏度时,就变成黄色,而后逐渐变白,变蓝,当光越偏红,色温越低,偏蓝色温越高,低色温光源的特征是能量分布中,红辐射相对较多,通常称为“暖光”;高色温光源的特征是能量分布中,蓝辐射的比例增加,通常称为“冷光”。
色温是以“完全辐射体”的温度来表示一个实际光源的光谱成分。以绝对零度(-273℃)为基准,色温的单位是开尔文,用°K(或K)为符号。但色温还有一个单位微倒值(MRD),又叫麦瑞德值。它们之间的换算关系是:MRD=1/K*1000000。例如:日光5500K的色温1.X(MRD=1/5500*10000000则X=182:室内灯光3200K的色温2.X(MRD)=1/3200*10000000则X=312;312-182=130。因此我们就知道它们之间相差130MRD。
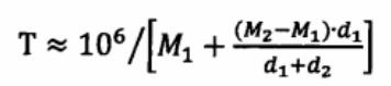
色温是描述光源光谱质量最常用的指标,低色温光源的能量分布中红辐射较多,通常称为暖色光:高色温光源的能量分布中蓝辐射相对较多,通常称为冷色光。当知道待测光源的光谱分布后,可确定出光源的色度坐标(x,y)。若光源的色度坐标点位于两条相邻等温线M1和M2之间,则可用内插法求得光源的相关色温。
设d1为光源坐标点到等温线M1的距离,d2为到等温线M2的距离。则光源的相关色温T由下式表示:

通常情况下用下面近似公式得到色温T:

其中:n=(x-0.3320)/y-0.1858。
从光源的显色性来分析,其显色性是由光源的光谱功率分布决定的,连续光谱的光源具有较好的显色性。日光是连续光谱,日光色温能代表其光谱功率分布,也能反映其显色性。从色度实践的角度而言,研究日光的光谱功率分布意义不大,且有一定的难度。因此一般在日光光源条件下,可用日光色温来衡量其显色性,进行色度测量和分析。色温的感觉量用MK-1(每兆开)表示,其计算公式为:

从上式可以看出,色温的感觉量是由倒数色温来度量的。在实际测量中,光源的色温同样相差200K,但其感觉量就会有很大不同。例如:5000K和5200K的2个光源,色温感觉量约为8MK-1;而2000K和2200K的光源,色温感觉量就约为45MK-1。
色差仪a/△a、b/△b值怎么分析?什么关系?
2026-02-06
颜色表示系统之中国颜色体系是怎么表示颜色的?
2026-02-04
YS4560 plus分光测色仪测硅胶色差告别凭眼猜色差
2026-01-30
标准光源箱TL84荧光标准光源光谱是怎样的?
2026-01-28
扫描二维码分享到微信