2025-10-17
显色性用于描述光源的显色能力,是评价光源性能的一项重要的指标。不同的光源由于光谱能量分布的不同,其显色性就不同,因此在不同光源下看到的颜色就会有所差异。为了对光源的显色性好坏进行评价,一般会使用显色指数进行定量的评价。本文对光源显色性及光源显色性指数的评价方法做了介绍。

光源对于物体颜色呈现的程度称为显色性,也就是颜色逼真的程度,显色性高的光源对颜色的表现较好,我们所看到的颜色也就较接近自然原色,显色性低的光源对颜色的表现较差,我们所看到的颜色偏差也较大。显色性指标是用来描述光源显色性的一种评价方法。
我国国家标准GB/T 5702-2003《光源显色性评价方法》中规定用普朗克辐射体(色温低于5000K)和组合日光(色温高于5000K)做参照光源。为了检验物体在待测光源下所显现的颜色与在参照光源下所显现的颜色相符的程度,采用“一般显色性指数“作为定量评价指标。显色性指数最高为100。显色性指数的高低,就表示物体在待测光源下“变色”和“失真”的程度。
显色指数是表示光源显色性的,一般用平均显色指数Ra来表示。确定显色指数Ra,有必要先确立与自然光近似的标准光源(光的性质与亮度不随天气和时间而改变),然后再用国际照明委员会(CIE)规定的从中间色的红到紫的8个为1组的色式样作为标准色,在标准光源和被测试光源下做比较,色差越小则表明被测光源颜色的显色性越好。当色差等于0时,Ra值为100,表明被照物体在被测试光源下显示出来的颜色与在标准光源下一致。
标准颜色在标准光源照射下,显色指数为100。物体在某种光源照射下,当Ra≥80时,显色性为优良;Ra=79~50时,显色性为一般;Ra<50时,显色性为差。白炽灯的理论显色指数为100,但实际生活中的白炽灯种类繁多,应用也不同,所以其Ra值不是完全一致的,只能说是接近100,是显色性最好的灯具。太阳光和火光的自然光属于标准光源,所以一般显色指数Ra为100或接近此值。
光源的显色性一般用显色指数来评价,CIE规定显色指数分为特殊显色指数Ri和一般显色指数Ra评价时采用一套14种试验颜色样品,其中1~8号试验色用于一般显色指数的计算,这8种颜色样品选自孟塞尔色标,包含各种有代表性的色调,都具有中等彩度和明度。
CIE除规定了计算一般显色指数用的8种标准颜色样品外,还补充规定了6种计算特殊颜色显色指数的标准颜色样品,供检验光源的某种特殊显色性能选用,分别是彩度较高的红、黄、绿、蓝及叶绿色和欧美人的肤色,如下图所示。我国计算光源显色指数的方法还增加了中国女性肤色的颜色样品。

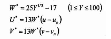
特殊显色指数的计算公式为:

其中△Ei是参照光源下和待测光源下各种试样色的色差:

式中:r——参照光源下标;c——待测光源下标;i——检验色样序号的下标;U*、V*、W*——均匀颜色空间坐标值,由下式求得。

式中,Y表示检验色样CIE1931三色刺激值Y;u、v表示检验色样的u坐标值;un、vn表示照明光源的uv坐标值。(u、v坐标值的具体计算过程可查阅CIE或国家标准。)
色差仪a/△a、b/△b值怎么分析?什么关系?
2026-02-06
颜色表示系统之中国颜色体系是怎么表示颜色的?
2026-02-04
YS4560 plus分光测色仪测硅胶色差告别凭眼猜色差
2026-01-30
标准光源箱TL84荧光标准光源光谱是怎样的?
2026-01-28
扫描二维码分享到微信