2025-08-08
CIELAB均匀颜色空间是颜色测量中最为常用的一个颜色空间,该颜色空间用L*、a*、b*三个维度来对颜色进行描述,并以空间之间的几何距离来表示颜色之间的差异值。本文对CIELAB均匀颜色空间色度值的关系及色差公式做了介绍。

CIELAB均匀颜色空间表示颜色的方式,模拟了人眼对颜色的感觉。在CIELAB颜色空间中,颜色的明度感觉用纵坐标L*轴表示,黑色位于最下端,对应明度L*=0;白色最亮位于最上端,对应明度L*=100。a*轴与b*轴共同表示彩色的特性,a*轴正方向代表红色(偏品红)的变化,a*轴负方向代表绿色的变化;b*轴正方向代表黄色变化,b*轴负方向代表蓝色变化。这四个变化方向构成互补对抗颜色的模型。

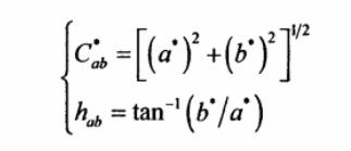
在CIELAB均匀颜色空间中,a*与b*的值表示颜色感觉中的彩色成分。当a*和b*的值均为0时,颜色的饱和度为0,即非彩色,其坐标点落到纵坐标轴上。所以,所有的非彩色都位于纵坐标轴上,从下到上依次为黑、深灰、灰、浅灰和白。颜色的坐标点距纵坐标轴越远,则颜色就越鲜艳。根据这一性质,可以用a*和b*的值进一步计算色调和饱和度,并使其与颜色的感觉更加接近。如上图所示,任一个颜色在CIELAB均匀颜色空间的坐标位置为P,则其对应的明度值为纵坐标的高度,对应的a*与b*坐标值为该点在a*与b*坐标轴上的投影。根据图中的几何关系,该颜色的色调H*可以用该点在a*-b*平面的投影到纵坐标轴连线与a*坐标轴的转角表示;彩度(或饱和度)C*可以用该点到纵坐标轴的距离来表示。因此,可以得到色调角和彩度分别为:

根据a*和b*值的正负,可以判断色调角在0°~360°内的变化:如a*>0,b≥0,则0°≤h*ab<90°;如a*≤0,b*>0,则90°≤h*ab<180°;如a*<0,b*≤0,则180°≤h*ab<270°;如a*≥0,b*<0,则270°≤h*ab<360°。
结合上图可知,在a*-b*平面上,色调角在0°~90°范围内,a*与b*值都大于0,其间的颜色都由红和黄原色混合而成;色调角在90°~180°范围内,a*值小于0,b*值大于0,其间的颜色由黄和绿原色混合而成;色调角在180°~270°范围内,a*与b*值都小于0,其间的颜色由绿与蓝原色混合而成;色调角在270°~360°范围内,a*值大于0,b*值小于0,其间的颜色由蓝和红原色混合而成。
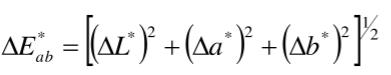
CIELAB色差公式是基于近似均匀的三维颜色空间建立的,由直角坐标L*、a*、b*构成,国际照明委员会推荐使用。该色差公式建立在CIELAB颜色空间之上,在L*a*b*公式中,L*表示明度,a*表示红色和绿色的成分,b*表示黄色和蓝色的成分。色差是指用数值的方式表示两种颜色给人色彩感觉上的差别,若两个颜色都是按照L*a*b*标定的,则两个颜色之间的色差可以用欧式距离来计算:

其中,△L*是CIELAB空间的明度差,△a*是CIELAB空间的红绿色光差,△b*是CIELAB空间的黄蓝色光差。
△a*和△b*表示样本和标准在ab*平面上位置的改变。如果将CIELab均匀颜色空间转化为极坐标空间,则能更好地表示色差的性质,极坐标空间用LCH表示。因此,CIELAB色差公式也可以用明度差△L*、彩度差△C*ab和色相差△H*ab来定义,即:

色差仪a/△a、b/△b值怎么分析?什么关系?
2026-02-06
颜色表示系统之中国颜色体系是怎么表示颜色的?
2026-02-04
YS4560 plus分光测色仪测硅胶色差告别凭眼猜色差
2026-01-30
标准光源箱TL84荧光标准光源光谱是怎样的?
2026-01-28
扫描二维码分享到微信