2025-08-22
CIELab、CIELuv是色差仪常用测色空间,这两个颜色空间都是在CIEXYZ颜色空间的基础上发展而来的,且都与CIEXYZ颜色空间之间存在非线性的转换关系。本文对色差仪CIELab、CIELuv与CIEXYZ转换关系做了介绍,对颜色空间转换关系感兴趣的朋友不妨了解一下!

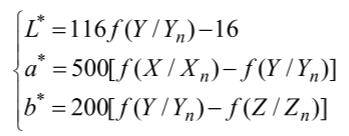
在实际应用时,不均匀的颜色空间会给颜色评估带来很多的不便,于是人们就研究均匀的颜色空间,CIELAB颜色空间就是均匀的颜色空间之一,1976年,CIE制定此颜解决XYZ颜色空间的物理距离与人眼的感知不相当的问题。在这一颜色空间中,柱坐标L*表示亮度,a*和b*轴代表色度坐标,分别是红-绿坐标和黄-蓝坐标,这三个坐标值均被认为是均匀变化的。这三个属性值可以由XYZ颜色空间的三个属性转化而来。转换公式如下:

其中,在上面的公式中,X、Y、Z指的是物体的三刺激值,这三个属性值是在海明对立坐标理论的基础上建立起来的。Xn、Yn、Zn表示的是CIE标准照明体先照射在完全反射漫反射体上,再经其反射到人们眼中的白颜色物体的三刺激值。光源和观察者的条件分别以D65和10°条件为佳。在不同的光源以及观察者条件下,三刺激值是不同的。若采用D65标准照明体Xn=94.811,Yn=100.00,Zn=107.304。
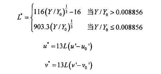
CIELUV颜色空间是CIE1976L*u*v*均匀颜色空间的简称,在CIELUV空间中,L*为明度,u*、v*为色品指数。三者相互垂直构成色空间来描述相对应的亮度和色度量:垂直的轴是明度L*,位于水平面且互相垂直的是色品指数u*和 v*。CIELUV颜色空间与CIELAB颜色空间相似,L*,u*,v*是X,Y,Z通过非线性变换得到的,同样用两点间的距离表示颜色之间的色差。三个刺激量X,Y,Z到CIELuv颜色空间的转换公式如下:

X0、Y0、Z0为标准白光所对应的XYZ值。CIELuv颜色空间比较强调对红色的表示,即对红色变化比较敏感,但对蓝色表示得比较粗糙。
CIBL*u*v*和CIEL*a*b*颜色空间是为了解决颜色的等距度量而建立的,具有均匀明度标尺和均匀色品标尺,其独立性和均匀性显然优于XYZ空间。但是,由于均匀色品标尺没有把色调和饱和度分离开,所以只有一个亮度分量能用于处理,而不能利用彩色图像的色彩信息,这会把彩色图像处理限制在灰度图像处理的范围,极大地束缚了彩色图像处理的手脚,也不是应选的最佳颜色空间。相对来讲,目前推荐的最好用的量化分析颜色的均匀空间。除了继承XYZ颜色空间的优点外,还有两个新的优点:一是颜色差异的规范化空间;二是CIEL*u*v*和CIEL*a*b*颜色可以由圆柱坐标表示,因此可以适应不同的需要。由于具有这些优点使这种颜色空间在对颜色有严格要求的应用场合更加实用。
CIE1976L*a*b*均匀颜色空间是CIE1931标准色度学系统的非线性变换,它将XYZ直角坐标颜色空间转换为柱面极坐标,将三刺激值XYZ转换成与眼睛视觉相一致的明度L*和色度a*、b*,其中a*、b*与色调、饱和度的感觉相一致。ClE1976Lab的优点是当颜色的色差大于视觉的识别阈限(恰可察觉)而又小于孟塞尔系统中相邻两级的色差值时,能较好地反映物体色的心理感受效果。
色差仪a/△a、b/△b值怎么分析?什么关系?
2026-02-06
颜色表示系统之中国颜色体系是怎么表示颜色的?
2026-02-04
YS4560 plus分光测色仪测硅胶色差告别凭眼猜色差
2026-01-30
标准光源箱TL84荧光标准光源光谱是怎样的?
2026-01-28
扫描二维码分享到微信