2026-03-04
HuntLab颜色空间是颜色测量中常用的颜色空间,该颜色空间以L、a、b 表示物体反射光的三个量,其中L表示反射光的明度,a表示反射光中红色与绿色的成分,b表示反射光中黄色与蓝色的成分。本文对HuntLab颜色空间及HuntLab颜色空间色差公式做了介绍。

Hunter Lab颜色空间是一个基于对立颜色学说的三维矩形空间,该系统分别以L、a、b 表示物体反射光的三个量,其中L表示反射光的明度,a表示反射光中红色与绿色的成分,b表示反射光中黄色与蓝色的成分。
L与CIELab中的L*类似,描述颜色的明亮程度。取值范围一般在0到100之间,0表示绝对黑色,100表示绝对白色。
a表示颜色在红绿色轴上的位置a值为正数时,颜色偏向红色;a值为负数时,颜色偏向绿色。其数值的大小反映了颜色在红绿色调上的偏离程度,绝对值越大,颜色在该方向上的特征越明显,其数值范围和计算方式与CIELab中的a*有所不同。
b代表颜色在黄蓝色轴上的位置。b值为正数时,颜色偏向黄色;b值为负数时,颜色偏向蓝色。同样,b值的大小反映了颜色在黄蓝色调上的偏离程度,绝对值越大,颜色的黄色或蓝色特征越突出。同样与CIELab中的b*在数值范围和计算上存在差异。
HunterLab色彩空间与CIELab颜色空间一样,都是由CIE XYZ体系导出,其表达为:

其中:L为明度;a、b为色度;X、Y、Z为物体的三刺激值;Xn、Yn、Zn为完全反射面的三刺激值;Ka、Kb为调整因子。
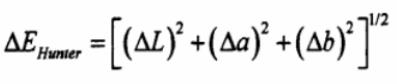
在Hunter Lab颜色空间中,其色差公式可表示为:

式中:△L、△a、△b分别为两个物体表面色的明度差和色品坐标差。
便携式色差仪测量金枪鱼的颜色为其品质提供数据支撑
2026-03-06
HuntLab颜色空间及HuntLab颜色空间色差公式
2026-03-04
色差仪a/△a、b/△b值怎么分析?什么关系?
2026-02-06
颜色表示系统之中国颜色体系是怎么表示颜色的?
2026-02-04
扫描二维码分享到微信