2025-06-18
颜色三刺激值怎么理解?颜色三刺激值是用于定量描述颜色的一组数值,它基于人眼对不同波长光的响应特性以及颜色混合的原理,光谱三刺激值是计算颜色三刺激值的基础。那么,颜色三刺激值怎么计算?本文为大家做了简要的分析。

颜色三刺激值是指在特定的颜色匹配实验中,为了匹配出某一特定颜色,所需的红(R)、绿(G)、蓝(B)三种原色光的刺激量,通常用X、Y、Z来表示。这三种原色光的波长通常分别选取700nm(红)、546.1nm(绿)和435.8nm(蓝)。
人眼视网膜上有三种不同类型的锥体细胞,分别对不同波长范围的光敏感,大致对应红、绿、蓝三种颜色。当不同波长的光进入人眼时,会引起这三种锥体细胞不同程度的兴奋,它们的综合反应就形成了人对颜色的感知。颜色三刺激值就是通过测量人眼对不同颜色光的这种综合反应,来定量地表示颜色。在颜色匹配实验中,通过调整红、绿、蓝三种原色光的强度,使其混合后的光与待测颜色的光在视觉上完全匹配,此时所使用的三种原色光的强度就是该颜色的三刺激值。颜色三刺激值可以通过对颜色的光谱功率分布进行积分计算得到。
三刺激值是颜色科学的基础与核心,描述颜色的三刺激值有多种方式,如电脑等设备中采用的三刺激值R、G、B和CIE规定的三刺激值X、Y、Z等。在实际工业中常用的各种色度学度量都需要借助三刺激值X、Y、Z进行计算,它是颜色工业应用的纽带。利用光谱数据计算颜色参数时,需要先求取颜色的CIE三刺激值。以CIE1964观测视场为例,在可见光范围内,计算物体颜色L*a*b*值的方法如下:
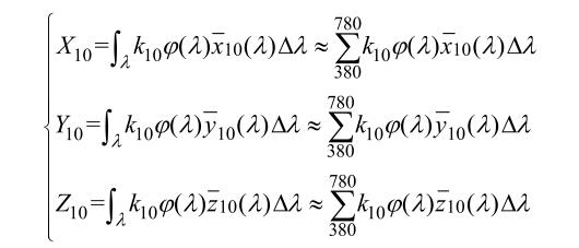
1.计算三刺激值

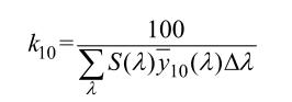
式中,k10为归化系数,可用下式表示,其作用是规定Y10值最大为100。

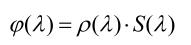
若被测物体为非荧光体,则φ(λ)表示颜色刺激函数,如下式所示:

上式中,ρ(λ)表示物体光谱反射比,S(λ)表示标准照明光源的相对光谱功率分布。由于S(λ)通常是已知的,因此,只要获取物体的光谱反射比并结合上述公式就可计算出物体颜色的三刺激值。
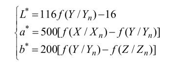
2.计算L*、a*、b*值
将步骤1得到的X10、Y10、Z10带入到下列公式中,替换掉原有公式中的X、Y、Z即可计算出物体颜色的L*、a*、b*值。

综上所述,当采用物体光谱反射率计算物体颜色参数时,需要两个步骤。首先由光谱反射率数据得到物体颜色三刺激值X、Y、Z,之后再由三刺激值X、Y、Z得到物体颜色 L*、a*、b*值。
色差仪a/△a、b/△b值怎么分析?什么关系?
2026-02-06
颜色表示系统之中国颜色体系是怎么表示颜色的?
2026-02-04
YS4560 plus分光测色仪测硅胶色差告别凭眼猜色差
2026-01-30
标准光源箱TL84荧光标准光源光谱是怎样的?
2026-01-28
扫描二维码分享到微信