2025-06-13
光电积分法测色仪的滤光片需满足卢瑟条件,以精确匹配光探测器。但在实际应用中,由于有色玻璃的品种有限,仪器不可能完全符合卢瑟条件,只能近似符合。本文对光电积分法及光电积分法卢瑟条件实现方法做了介绍。

光电积分法在整个测量波长区间内通过积分测量所获得的物体的三刺激值,然后由此计算出物体颜色的色品坐标等参数。一般情况下,用滤光片覆盖在探测器上,把探测器的相对光谱灵敏度修正成CIE推荐的光谱三刺激值。通过这三个光探测器接收光刺激时,而后能用一次积分测量出样品的三刺激值。滤光片需要满足卢瑟条件以精确匹配光探测器。
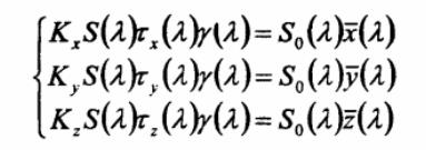
光电积分式仪器其总的光学条件应符合卢瑟(Luther)条件,表示公式如下:

式中,S(λ)为仪器所用光源光谱功率分布;S0(λ)选定的标准照明体光谱功率分布;τx,τy,τz为X,Y,Z三种滤色修正器的光谱透射比;x(λ),y(λ),z(λ)为选定的标准观察者(2°视场或10°视场)的光谱刺激值;γ(λ)为探测器的光谱灵敏度;Kx,Ky,Kz为比例常数。
在实际的滤色修正中,因为有色玻璃的品种有限,仪器不可能全部符合,卢瑟条件,只能近似相符,近似的程度决定了仪器的精度。光电积分式仪器在测量原理上存在偏差,其精度自然不如分光式仪器。这类仪器一般都由光源、探测器、数据处理器和输出单元几部分构成。光源多为稳定性光源,多数使用的是卤素灯。探测器为三个或四个经过滤色修正的硅光电池或光电管。在结构形式上一般分为台式和便携式两种。因光源的光谱功率分布和光电池的光谱灵敏度直接影响到光学模拟的结果,故它们的稳定性和一致性在仪器制造中是非常重要的。
光电积分式仪器不能精确测量出色源的三刺激值和色品坐标,却能准确测出两个色源之间的差别,故又被称为测色色差计。
光电积分式测色仪的总灵敏度特性与CIE规定的标准观察者的X、Y、Z一致,物体颜色三刺激值正比于光电流数值,仪器符合卢瑟条件的完善程度,决定了仪器的测量精度。为了进行光电积分式颜色测量,仪器的三个光探测器的光谱响应必须满足卢瑟条件。能够实现这种要求的方法通常有两种,即光学滤色片法和模板法。
1.光学滤色片法
光学滤色片法不采用色散系统和光谱模板,而是利用有色玻璃片的组合来实现卢瑟条件。为使光探测器的相对光谱灵敏度S(λ)符合aE的色度匹配函数x(λ)、y(λ)、z(λ),需要选择合适的滤光片及其厚度,使其光谱透射比τ(λ)与探测器的相对光谱灵敏度S(λ)的组合结果,满足卢瑟条件的要求。下图是采用光学滤色片法实现卢瑟条件的光电积分式色度计的基本构成示意。这种类型的色度计构造简单,成本较低,因此在工业生产中得到广泛的应用。

2.模板法
模板法采用模板使光探测器的光谱响应特性与CIE光谱三刺激值函数相匹配,即满足卢瑟条件的要求。下图是模板法光电积分式色度计的光学系统,光源照明测试样品,由试样表面反射的光辐射,通过透镜和棱镜色散成光谱;在光谱面上分别放置X模板、Y模板和Z模板,它们使光接收器对等能光谱的光谱响应,分别与CIE色度匹配函数x
(λ)、y(λ)和 z(λ)成正比;从模板透过的光谱能量,由透镜会聚于光接收器上,即可测出试样的CIE三刺激值X、Y、Z。

色差仪a/△a、b/△b值怎么分析?什么关系?
2026-02-06
颜色表示系统之中国颜色体系是怎么表示颜色的?
2026-02-04
YS4560 plus分光测色仪测硅胶色差告别凭眼猜色差
2026-01-30
标准光源箱TL84荧光标准光源光谱是怎样的?
2026-01-28
扫描二维码分享到微信