2025-06-25
在颜色管理中,我们把以数值描述实际色样之间的色彩差异程度的量值叫做颜色色差即色差,计算色差结果的评价模型为色差公式。本文对色差的含义及色差计算公式△E*94色差公式做了介绍,以便大家更好的理解色差。

色差是颜色科学量化的重要参数,指的是不同颜色在特定颜色空间中的距离,可以通俗理解成颜色的差异,英语为Color Difference,是颜色科学领域非常关注的概念。在纺织印染、包装印刷、汽车制造、塑料、涂料和食品药品等相关色彩工业生产过程中,都需要对产品的颜色进行质量管控,以确保其符合行业标准或者客户的品质需求。在这些工业应用中需要用定量的可视化指标来表达颜色的差异。在比较理想的状态下,色差是需要根据人眼的视觉特性呈现出来,也就是色彩的数据化结果需要跟视觉匹配度的一致性完美契合,理解成相同的人眼视觉间隔同时拥着相同的颜色差异数值。科学上把以数值描述实际色样之间的色彩差异程度的量值叫做颜色色差。计算色差结果的评价模型为色差公式。理想的色差计算公式应该是建立在一定的均匀颜色空间上,是为了确保预测色差值与目视测量结果之间具有很高的匹配度。
色差是进行颜色品质管理的重要依据。色差的大小,影响产品的评级以及客户是否认可。传统目视评估的方法具有误差大,外界因素干扰多,主观性较强等缺点,采用仪器测量并依据色差公式进行质量控制是越来越多的行业共识。目前主流的色差公式包括国际照明委员会CIE推荐使用的CIELAB,CIE94和CIEDE2000,以及由英国颜色测量委员会提出的CMC色差公式等。
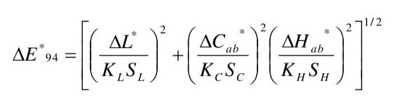
ΔE*94色差公式是CIE于1955年推荐的一个色差公式,其全称为“CIE1994(△L*△C*ab△H*ab)色差模型”,正式缩写形式是CIE94,色差符号为△E*94。△E*94色差公式是CMC(1:c)色差公式的一种改良形式,其结构与ΔE*CMC(l:c)色差公式相似的公式,该公式的计算式如下所示:

式中ΔL*,△C*ab,△H*ab分别表示两种颜色间的明度差、彩度差和色相差。参数因子KL,KC,KH可根据不同的评价对象和评价条件选择不同数值,参考条件下的参数因子数值均为1。当观察条件改变时,可以对各参数进行单独改变以适应视觉上每个颜色分量(明度、彩度、色相)的变化。
CIE94色差公式沿用了变化参数的思想,对关系颜色差别的三要素明度、彩度和色相给出了更好的参考。常用的参考数值仅仅对明度的取值进行改变,例如,评价纺织品是明度的参数因子取值为2,而在印刷行业中推荐的明度参数因子的取值为1.4,这两种情况下其他两者的取值与参考条件下的取值相同。
CIE94色差公式是基于CIELAB色差公式提出的一个色差公式。CIE在推荐CIE94色差公式时,确立了一组适用于该公式的参照条件。其中,照明体是模拟D65的相对光谱功率分布;照度为1000lx;背景是明度L*=50的均匀中性灰色;观察对象是物体色;样品尺寸对应于视角大于4°;样品放置时两直边接触,间隔最小;样品的色差幅度为0~5个CIELAB单位;样品在结构上无视觉明显图样,非均匀性。CIE94色差公式与CMC(l:c)色差公式结构相似,但其权重函数更加简单。
其优点是引入了明度权重函数l和彩度权重函数c,改进了 CIELAB颜色空间的均匀性。其缺点是在a*b*平面上,计算得到的容差椭圆的△C轴全部指向原点,而目视评定结果的容差椭圆。
CIE94色差公式实际上就是CMC(1:c)的一个修正版,它的优点在于:探讨了色差距离的均匀性和参量对知觉色差的影响,应用加权函数校正CIELAB空间的均匀性,与此同时定义一组基本条件,在基本条件下应用时无需对参量效应校正。推荐草案改进CIELAB空间的均匀性获得了预期的成功,而且该色差公式加权函数比△FMC-2和△ECMC色差公式简单得多。因此,CIE94色差公式在纺织工业中已经得到了广泛地应用。
在印刷包装行业中,科研工作者和生产质检人员已经意识到了CIE1976LAB色差公式的缺点,开始有意识地选用CIE94色差公式。一些生产检测设备的生产厂商也顺应潮流,在其生产的设备中开始集成CIE94色差公式,目前支持CIE94的仪器有很多,如:三恩时TS系列色差仪。
色差仪a/△a、b/△b值怎么分析?什么关系?
2026-02-06
颜色表示系统之中国颜色体系是怎么表示颜色的?
2026-02-04
YS4560 plus分光测色仪测硅胶色差告别凭眼猜色差
2026-01-30
标准光源箱TL84荧光标准光源光谱是怎样的?
2026-01-28
扫描二维码分享到微信