2025-06-27
目前用于白度计算的主流的白度公式主要有两类,一类是与色差概念有关的白度公式,以亨特(Hunter)白度公式为代表;另一种是CIE白度公式,以甘茨(Ganz)白度公式为代表。本文对亨特(Hunter)白度公式和甘茨(Ganz)白度公式做了介绍。

这类白度公式是将完全漫反射体的白度定为100,然后用样品的白度与完全漫反射体的白度进行比较,以色差概念来评价样品的白度。这类公式中常见的是亨特(Hunter)白度公式,即:

式中:L、a、b分别为白色样品在亨特Lab颜色空间中的明度指数和色度指数;K为常数。原则上取值为K=1;ap,bp为理想白(或基准白,L=100)在亨特Lab系统中的色度指数。通常对于不带荧光的样品其取值为ap=bp=0,而对于带有荧光的样品或对不带荧光的样品与有荧光的样品进行比较时,均应取值为ap=3.50和bp=-15.87。
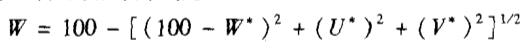
另一种常见的公式是:

式中:W*、U*、V*按CIE1964W*U*V*颜色空间的相关公式计算,并认定基准白的W*=100。该公式适用于非荧光样品的白度评价。
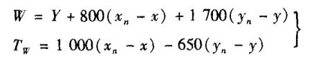
上述白度公式基本上都没有考虑对偏色的表示,所以不论偏红或偏绿都称之为白。但是,现实中理想的中性白是不存在的,色度学家甘茨(E.Ganz)在20世纪60年代中期提出了加权因子不同的中性白、偏绿白和偏红白等三种白度计算公式。CIE色度技术委员会于1983年正式推荐了以甘茨公式为基础,并经修改后的白度评价公式,即CIE白度公式。该公式以W=100的完全漫反射体为参照点,以D65为评价白度的标准照明体,并包括白度W和淡色调TW两个部分。当采用CIE1931标准色度观察者时,对应的白度公式为:

式中:Y是白色样品的三刺激值,x、y是样品的色品坐标,xn、yn是完全漫射体的色品坐标。如果采用CIE1964补充标准色度观察者,则其白度公式表示为:

式中:参数的定义不变,只是取值为10°视场CIE标准色度系统。
在上面两组白度公式中,W、W10越大,则表示白度越高;Tw、Tw10值为正时,表示带绿色,且数值越大,表示越偏绿;Tw、Tw10值为负时,表示带红色,且其绝对值越大,表示越偏红;对于完全漫射体,其W、W10均为100,Tw、Tw10都等于零。
另外,对于明显带有某种颜色的样品,评价其白度是没有意义的,故应用CIE白度公式进行评价的样品,应符合下列限制条件,即:

色差仪a/△a、b/△b值怎么分析?什么关系?
2026-02-06
颜色表示系统之中国颜色体系是怎么表示颜色的?
2026-02-04
YS4560 plus分光测色仪测硅胶色差告别凭眼猜色差
2026-01-30
标准光源箱TL84荧光标准光源光谱是怎样的?
2026-01-28
扫描二维码分享到微信