2025-07-30
不均匀的颜色空间在进行色差表示时,不能反映人眼的色差感觉,因此CIE推荐了用于颜色测量与计算的均匀颜色空间。CIEL*a*b*颜色空间就是其中的一种,也是目前色差仪中使用最为广泛的一个颜色空间。那么,色差仪均匀颜色空间CIEL*a*b*含义及色差式你了解吗?本文对此做了简要的介绍。

CIE表色系统的基础是R(红)、G(绿)、B(蓝)三原色,彩色由三原色按一定比率混合产生。原则上,各种色彩均可以由这三种原色按比率混合得到,但实际上在计算时,对有的颜色RGB中出现负值,使得计算不方便。因此为更好地解释颜色合成,CIE又制定了改善的CIE-XYZ表色系统。
XYZ是一种虚拟的基色坐标系,其值与RGB三刺激值可通过公式转换。表示色品(色调和饱和度)在直角坐标系中几何关系的图叫色品图。在CIE-RGB和CIE-XYZ颜色系统的色品图中两个色品点的欧氏距离并不反映人眼的色差感觉,因此它们都不是均匀颜色空间。
为统一评价颜色差别的方法,通过对CIE-XYZ空间进行非线性变换,CIE推出了两个均匀颜色空间,其中就包括CIEL*a*b均匀颜色空间。均匀颜色空间更能反映人的视觉心理,其色差公式反映了人眼的色差感觉。
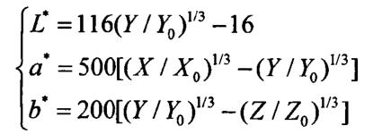
CIE1976L*a*b*色空间在L*U*v*色空间的基础上做了进一步的均匀化处理,该颜色空间主要由L*,a*,b*三个分量组成,L*代表明度坐标,其最大值为100,a*代表红绿色坐标,靠近红色一侧在正坐标轴,靠近绿色一侧在负坐标轴,b*代表黄蓝色坐标,靠近黄色一侧在正坐标轴,靠近蓝色一侧在负坐标轴,其表达式如下所示:

式中,X,Y,Z代表待测物的颜色三刺激值,X0,Y0,Z0为照明光源照射下标准漫反射体的颜色三刺激值,其中Y0的值为100。
在上式中,X/X0、Y/Y0和Z/Z0中任意一个值都不能小于0.008856,否则按照式下式进行指标计算。

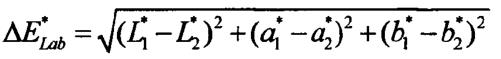
CIE1976 L*a*b*色差计算过程如下式所示:

式中△E*Lab代表CIE1976L*a*b*色空间标准下的色差,L1*,a1*,b1*与L2*,a2*,b2*分别代表两种颜色在均匀色空间中的色坐标。
色差仪a/△a、b/△b值怎么分析?什么关系?
2026-02-06
颜色表示系统之中国颜色体系是怎么表示颜色的?
2026-02-04
YS4560 plus分光测色仪测硅胶色差告别凭眼猜色差
2026-01-30
标准光源箱TL84荧光标准光源光谱是怎样的?
2026-01-28
扫描二维码分享到微信