2025-08-01
色差是颜色科学量化的重要参数,指的是不同颜色在特定颜色空间中的距离,可以通俗理解成颜色的差异,一般用△E值表示,可以通过色差仪或分光测色仪等仪器测量,并经过特定色差公式计算而得到。本文对色差△E值的含义及色差△E值计算主流色差公式做了介绍。

色差是颜色科学量化的重要参数,指的是不同颜色在特定颜色空间中的距离,可以通俗理解成颜色的差异,英语为Color Difference,是颜色科学领域非常关注的概念。在纺织印染、包装印刷、汽车制造、塑料、涂料和食品药品等相关色彩工业生产过程中,都需要对产品的颜色进行质量管控,以确保其符合行业标准或者客户的品质需求。在这些工业应用中需要用定量的可视化指标来表达颜色的差异。在比较理想的状态下,色差是需要根据人眼的视觉特性呈现出来,也就是色彩的数据化结果需要跟视觉匹配度的一致性完美契合,理解成相同的人眼视觉间隔同时拥着相同的颜色差异数值。科学上把以数值描述实际色样之间的色彩差异程度的量值叫做颜色色差。
计算色差结果的评价模型为色差公式。理想的色差计算公式应该是建立在一定的均匀颜色空间上,是为了确保预测色差值与目视测量结果之间具有很高的匹配度。目前主流的色差公式包括国际照明委员会CIE推荐使用的CIELAB,CIE94和CIEDE2000,以及由英国颜色测量委员会提出的CMC色差公式等,其中以CIELAB色差公式为主。
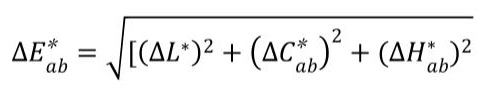
1.ΔE*ab色差公式
ΔE*ab色差公式是CIELAB色差公式的简称,该色差公式建立在CIELAB颜色空间之上,若两个颜色都是按照L*a*b*标定的,则两者的总色差计算公式如下计算。

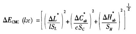
2.△E*CMC色差公式
△E*CMC是CMC(l:c)色差公式的简称,△E*CMC在修正CIELAB色差公式的基础上,根据视觉关系调整了每个色调方向的色差椭圆大小和形状;改善了彩度差变化与明度之间的关系,使不同彩度的颜色具有不同的色差容限。其表达式如下:

式中:△L*、△C*ab、△H*ab由CIE1976LAB色差公式计算得到,SL、SC、SH分别为明度、彩度和色调加权函数,用于调整不同明度、不同彩度和不同色调对色差的贡献大小。l和c为参数因子,用于调整不同的观察条件对色差的影响大小。l、c值的选用:对色差的“可觉察性”目视鉴定资料,可取l=c=1。而对色差的“可接受性”目视鉴定资料,则可取l=2、c=1。
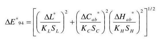
3.△E*94色差公式
CIE94色差公式即CIE1994(△L*△C*ab△H*ab)色差模型,其缩写形式是CIE94,色差符号为△E*94。△E*94色差公式是CMC(1:c)色差公式的一种改良形式,其结构与ΔE*CMC(l:c)色差公式相似的公式,该公式的计算式如下所示:

式中ΔL*,△C*ab,△H*ab分别表示两种颜色间的明度差、彩度差和色相差。参数因子KL,KC,KH可根据不同的评价对象和评价条件选择不同数值,参考条件下的参数因子数值均为1。在印刷行业中推荐使用kL=1.4,kC=kH=l;在纺织行业中,当kL=2,kC=kH=1时。
4.△E*00色差公式
△E*00色差公式是CIEDE2000色差公式的简称,它是最新由CIE推荐的色差公式。该公式不仅包含有明度差、彩度差和色调差加权函数,还加入了色调差与彩度差的交叉项,和改善中性灰色色差予测能力的函数项。CIEDE2000色差公式如下:

上式中,△L'、△C'为CIELAB颜色空间的亮度差、彩度差,△H'是改进后的色相差;KL、KC、KH为参数因子,可根据实际使用确定具体的矫正参数,在CIE标准观测条件下,取KL=KC=KH=1;SL、SC和SH分别为明度、彩度和色调的权重因子。
色差仪a/△a、b/△b值怎么分析?什么关系?
2026-02-06
颜色表示系统之中国颜色体系是怎么表示颜色的?
2026-02-04
YS4560 plus分光测色仪测硅胶色差告别凭眼猜色差
2026-01-30
标准光源箱TL84荧光标准光源光谱是怎样的?
2026-01-28
扫描二维码分享到微信