2025-08-06
为了对颜色进行规范化的测量与描述,CIE先后规定了多种类型的用于颜色测量的标准表色系统,其中比较常见的就有CIELAB标准表色系统与CIELCH标准表色系统,其中CIELCH标准表色系统是由CIELAB变换得到的。本文对CIELAB标准表色系统与CIELCH标准表色系统关系做了介绍。

现代色度学采用CIE(国际照明委员会)所规定的一套颜色测量原理、数据和方法,称为CIE 标准色度学系统。这一色度学系统以两组基本视觉实验数据(CIE明视觉函数)为基础。一组数据叫做“CIE1931标准色度观察者”,适用1°-4°视场的颜色测量。另一组数据叫做“CIE1964 补充标准色度观察者”,适用大于4°视场的颜色测量。
CIE标准色度学系统的发展历程为:1931CIE-RGB系统、1931CIE-XYZ系统、CIE1964补充色度学系统以及CIE1960均匀颜色空间、CIE 1964均匀颜色空间、CIE1976均匀颜色空间,色度学系统目前处于发展之中。1931CIE-XYZ系统是色度学实际应用工具,几乎关于颜色的一切测量、标准以及其他方面的延伸都以此为出发点,因而是颜色视觉研究的有力工具。CIE1976均匀颜色空间包括CIE1976(L*u*v*)空间和CIE1976(L*a*b*),下文将对CIE1976(L*a*b*)即CIELAB标准色度系统进行介绍。
CIELab颜色空间是颜色量化中最常用的一种颜色空间,是基于生理特征的均匀颜色空间,是由明度(L)和两个色度分量a、b共三个分量构成,L表示颜色的明度,也常被称作亮度,取值范围在[0,100],表示从纯黑到纯白。a表示从绿色到红色,-a最小表示绿色,+a最大表示红色,取值范围在[-128,127],-a到+a是绿色到红色颜色渐变的过程。b表示从蓝色到黄色的范围,同样原理,-b到+b是由蓝色逐渐过渡到黄色的过程,取值范围在[-128,127]。其模型如下如所示:

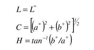
CIELab均匀颜色空间表示颜色的方式模拟了人眼对颜色的感觉。如上图所示,颜色的明度感觉用纵坐标轴L*表示。所以,所有的非彩色都位于纵坐标轴上,从下到上依次为黑、深灰、灰、浅灰和白。根据图中的几何关系,该颜色的色调H*可以用其在a*与b*平面的投影到纵坐标轴连线与a*坐标轴的转角h*ab表示;彩度(或饱和度)C*可以用该点到纵坐标轴的距离来表示。因此,可以得到:

在CIELAB颜色空间中,两个颜色之间的色差可以用欧氏距离来表示:

其中L*是CIELAB空间的明度值,a*,b*为色品坐标,△L*、△a*和△b*分别是CIELAB空间中三个标尺的差值。
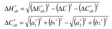
色差△E*ab,也可以用明度差△L*、彩度差△C*ab色调差△H*ab定义,即:

CIELCH颜色空间采用同CIELab一样的颜色空间模型,把LAB用极坐标的方式表示LCH的颜色空间。在LCH的颜色空间中,L*表示颜色的亮度值,C*表示颜色的饱和度值,H*表示颜色的色相值。纵坐标L*值同样对应于颜色三要素的明度,取值0-100;C*代表彩度,即某一颜色的坐标位置与原点的距离,取值0-181,圆心处颜色的饱和度C*值为0,离圆心越远C*的值越大;H*为色调,取值0°-360°,h*代表色调角,是某一颜色坐标在色品平面内的投影点和坐标原点的连线与a轴的夹角。规定h*从正a轴(红)开始为0°,逆时针为正,正b轴(黄)为90°,负a轴(绿)为180°,负b轴(蓝)为270°。LCH值与人们描述颜色的习惯更一致,但对于颜色测量来说,一般用LAB来描述颜色。CIELCH色彩空间是从CIELab色彩空间推导出来的,一种颜色可以用LAB表示,也可以用LCH表示。CIELab与CIELCH之间的转换关系为:

色差仪a/△a、b/△b值怎么分析?什么关系?
2026-02-06
颜色表示系统之中国颜色体系是怎么表示颜色的?
2026-02-04
YS4560 plus分光测色仪测硅胶色差告别凭眼猜色差
2026-01-30
标准光源箱TL84荧光标准光源光谱是怎样的?
2026-01-28
扫描二维码分享到微信