2025-10-15
颜色测量仪器是专为颜色测量而制造的,故这种测量仪器能够对颜色进行定量的描述。从色度原理上,可以将颜色测量仪器分为不同的类型,比较常见的有三域法色度仪和光谱光度法色度仪。本文对颜色测量仪器及不同颜色测量仪器的工作原理做了介绍。

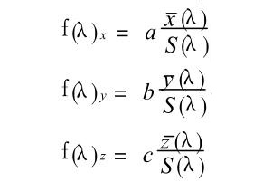
三域法色度仪使用红绿和蓝紫3种滤色片,它们的相对光谱透射曲线应该与1931CIE等能光谱标准光谱值曲线x(λ)y(λ)z(λ)相适应。也就是说,3滤色片的光谱透射率f(λ)i(i=x,y,z)应满足以下条件:

式中a、b、c是与波长无关的常数,S(λ)为光接收器的光谱敏感度。只要3滤色片满足上式条件,就可直接得到标准色值X、Y、Z。
三域法色度仪的主要问题是3滤色片与标准光谱值曲线的适应程度问题,因为很难达到,所以这种色度仪只能表示相对值,目前已较少使用,,而大多使用光谱光度法色度仪。
光谱光度法色度仪使用光谱分光器件(如分光棱镜干涉滤色片等),将光源发出的光分解为按波长分布的等波长间矩(如△λ)=20
nm)的单色光,再用这种波长间距为△λ的单色光去照射测试色和标准白。从测试色的单色反射光密度与从标准白的单色反射光密度之比就是“光谱反射因数”U(λ)。然后,在色度仪的计算机中通过“匹配”去评价获得标准色值。其表达式如下:

这里应该注意,光源的光谱能量被以波长间隔△λ分割,所以光源的光谱响应S(λ)n应取△λ内的平均能量,x(λ)y(λ)z(λ)也应取△λ内的平均值。由上式可知,从单色光谱选取的波长间隔△λ的大小,对标准色值XYZ有一定影响。△λ取得越小,XYZ值就越准确。
从以上两种色度仪的测量原理来看,光谱光度法色度仪能更准确地适应标准观察者的视觉。三域法色度仪尽管也通过滤色片对标准观察者去适应,却只能是不够准确地模拟。从原理上讲,光谱光度法色度仪既适合相对评价也适合绝对值的测量。
色差仪a/△a、b/△b值怎么分析?什么关系?
2026-02-06
颜色表示系统之中国颜色体系是怎么表示颜色的?
2026-02-04
YS4560 plus分光测色仪测硅胶色差告别凭眼猜色差
2026-01-30
标准光源箱TL84荧光标准光源光谱是怎样的?
2026-01-28
扫描二维码分享到微信