2025-11-05
CIELab颜色空间来源于对ANLAB颜色空间的简化,是对三刺激值CIEXYZ颜色空间的非线性变换,其颜色空间的色度值L、a、b值与X、Y、Z值之间存在一定的转换关系。那么,CIELab颜色空间色度值计算的一般过程是怎样的?本文对CIELab颜色空间色度值计算的一般过程做了介绍。

CIELab颜色空间是基于生理特征的均匀颜色空间,是由明度(L)和两个色度分量a、b共三个分量构成,L表示颜色的明度,也常被称作亮度,取值范围在[0,100],表示从纯黑到纯白。a表示从绿色到红色,-a最小表示绿色,+a最大表示红色,取值范围在[-128,127],-a到+a是绿色到红色颜色渐变的过程。b表示从蓝色到黄色的范围,同样原理,-b到+b是由蓝色逐渐过渡到黄色的过程,取值范围在[-128,127]。CIELab颜色空间是颜色量化最均匀的颜色分布,在样品色差评比系统中,很多公式都是依赖该颜色空间的,它是颜色差异的规范化空间,能够解决颜色量化的等距度量,其均匀性较好。
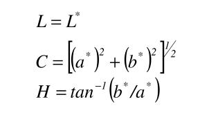
但CIELab色空间与视觉无直接对应,也就是说,当给出Lab一组值时,不能形象地想象出具体颜色。为此,可以用CIELab空间变形后得到的圆柱形颜色空间CIELCH来表示。该颜色空间由L、C、H表示。纵坐标L*值同样对应于颜色三要素的明度,取值0-100;C*代表彩度,即某一颜色的坐标位置与原点的距离,取值0-181,圆心处颜色的饱和度C*值为0,离圆心越远C*的值越大;H*为色调,取值0°-360°,h*代表色调角,是某一颜色坐标在色品平面内的投影点和坐标原点的连线与a轴的夹角。规定h*从正a轴(红)开始为0°,逆时针为正,正b轴(黄)为90°,负a轴(绿)为180°,负b轴(蓝)为270°。二者之间存在一定的数学转换关系,如下所示:

CIELab颜色空间来源于对ANLAB颜色空间的简化,是对三刺激值CIE XYZ颜色空间的非线性变换,即,

式中,X、Y、Z表示颜色样品的三刺激值,Xn、Yn、Zn表示同样照明条件下一个完全漫反射体表面的三刺激值。首先通过将三刺激值做归一化处理(即X/Xn、Y/Yn、Z/Zn),使用vonkries色适应变换函数,然后在通过CIELab公式中的立方根函数进行非线性压缩。
从CIELAB的计算公式来看一下CIELAB的计算过程:
1.需要两组三刺激值:刺激本身的XYZ和参考白的Xn、Yn、Zn。
2.接着这两组三刺激值被用到一个变异的Von Kries色适应变换中。刺激的XYZ经过参考白的规范化处理(X/Xn,Y/Yn,和Z/Zn,根据Von Kries假说,这种规范化处理就是在参考光源下的色适应)。这里三刺激值不是像通常的色适应变换那样首先转换成视锥响应,而是直接转换成适应后的视锥响应,称这样的色适应过程为一个错误的Von Kries色适应变换(该提法是与正确的Von Kries色适应变换相比较,正确的Von Kries色适应变换是将三刺激值先转换视锥响应再转换适应后的视锥响应)。
3.在CIELAB的计算公式中,三次方根表示对适应后视锥响应的一个非线性压缩。
4.接下来这些信号再组合3个响应维数,与对立色学说的黑一白、红一绿、黄-蓝响应相对应。
5.最后,在等式中乘上合适的常量以生成所要求的均匀感知空间和3个维数之间合适的关系。
6.CIELAB的L*,a*和b*三维组合成一个笛卡尔坐标,形成一个三维的色空间(圆柱形的坐标系统)。
7.圆柱形的坐标系统又提供了对彩度和色相的预测。
从上面的过程可以看出CIELAB以一个刺激和参考白点的三刺激值作为输入值,最后得到明度、彩度、色相,因此是一个简单的色貌模型。
色差仪a/△a、b/△b值怎么分析?什么关系?
2026-02-06
颜色表示系统之中国颜色体系是怎么表示颜色的?
2026-02-04
YS4560 plus分光测色仪测硅胶色差告别凭眼猜色差
2026-01-30
标准光源箱TL84荧光标准光源光谱是怎样的?
2026-01-28
扫描二维码分享到微信