2025-11-12
CIELab和Hunter Lab颜色空间是测色仪器中常见的测色空间,这两个测色空间都是用三个维度对颜色进行描述,且都具有相应的字母符号L、a、b,其L表示亮度、a和b表示色度。本文对CIELab和Hunter Lab颜色空间区别及色差公式做了介绍。

CIEL*a*b*(CIELAB)是惯常用来描述人眼可见的所有颜色的最完备的色彩模型。L、a和b后面的星号(*)是全名的一部分,因为它们表示L*、a*和b*。Lab指的是Hunter Lab,它是建立在颜色对立理论基础上的三维直角坐标系,是不带星号的,不同于L*、a*和b*。这两种表色系统都是建立在颜色对立理论基础上的,应用都比较广泛,区分这两种表色系统还是很有必要的。
Hunter Lab和CIELAB颜色体系的计算公式不同,虽然都是由X、Y、Z经数学计算而来,但是色度量的取值不同。另外两个个色度空间与视觉感官的均匀性都存在差异。虽然CIELab色空间是CIE推荐的均匀颜色空间,而实际上CIELab空间对于人眼的色彩感觉来说也还是不均匀的。在该空间的某个区域(如红色区域)取两个色样点与另一区域(如绿色区域)同等距离的两个色样点作比较,会发现在红色区域的两个色样的视感觉差别和绿色区域的两个色样的视感觉差别不一样,即在不同颜色区域,色彩的宽容量数值是不相等的。
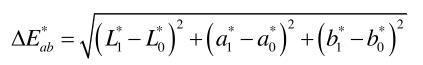
CIELab色差公式是基于近似均匀的三维颜色空间建立的,由直角坐标L、a*、b*构成,国际照明委员会推荐使用。该色差公式建立在CIELab颜色空间之上,使用空间中的欧氏距离来表示两个颜色之间的差异大小,假设该空间中有两个颜色(L*0,a*0,b*0)和(L*1,a*1,b*1),则两个颜色之间的色差为:

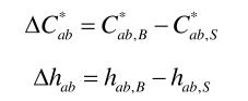
色差也可以用明度差△L*、饱和度差△C*ab和色调差△H*ab来定义:

其中,饱和度差△C*ab和色调差△h*ab为:

虽然CIELAB颜色空间预测结果与人眼观察得到的结果并非完全一致,但是与其他色差公式相比,CIELAB色差公式结构简单、易于理解并且在大色差上具备较好的预测精度,因此得到了广泛的应用,在实际应用中具有很大的价值。
Hunter Lab颜色空间是一个基于对立颜色学说的三维矩形空间,与CIELab色彩体系相类似,同一颜色在这两个颜色空间中的数值是不同的,Hunter Lab在颜色空间的蓝色部分是收缩的,CIELab在颜色空间的黄色部分是过度扩张的;都是由CIEXYZ体系导出的。Hunter Lab色差公式和CIELAB公式相似,该公式中L表示物体反射光的亮度,a和b分别表示反射光中的红绿成分和黄蓝成分。其表达式如下:

式中:△L、△a、△b分别为两个物体表面色的明度差和色品坐标差。
色差仪a/△a、b/△b值怎么分析?什么关系?
2026-02-06
颜色表示系统之中国颜色体系是怎么表示颜色的?
2026-02-04
YS4560 plus分光测色仪测硅胶色差告别凭眼猜色差
2026-01-30
标准光源箱TL84荧光标准光源光谱是怎样的?
2026-01-28
扫描二维码分享到微信