2025-11-14
不均匀的颜色空间不利于色差的表达,为了解决色差度量问题就需要寻找均匀颜色空间。在这个颜色空间内,两点的距离正比于视觉上颜色的差异,即色差的大小,就称为均匀颜色空间,CIELuv和CIELab就属于此类颜色空间。本文对CIELuv和CIELab均匀颜色空间色差公式形式做了简要介绍:

CIE提出采用(L*u*v*)空间的标定颜色方法,CIE1976(L*u*v*)空间的米制明度L*及米制色度u*,v*由下式规定:

式中X,Y,Z为颜色样品的三刺激值;u',v'为颜色祥品的色度坐标;X0,Y0,Z0为CIE标准照明体(例如D65或A)照射在完全反射漫射体上,再经完全反射漫射体反射到观察者眼中的白物体色刺激的三刺激值。Y0=100,u'0,v'0为光源的色度坐标。
按L*u*v*标定的两个颜色之间的总色差△EL*u*v*由下式计算:

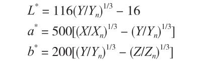
为了获得物体色在知觉上均匀的空间,并反映大于阈值小于孟塞尔颜色系统所表示的色差,CIE推荐第二个均匀颜色空间和色差计算公式,即 CIE1976(L*a*b*)空间及其色差公式。其表达式为:

式中X,Y,Z及Xn,Yn,Zn均同于CIE1976(L*u*v*)空间);L*为米制明度。a*,b*为米制色度。
从上式转换中可以看出:由X、Y、Z变换为L*,a*,b*时包含有立方根的函数变换,经过这种非线形变换后,原来的马蹄形光谱轨迹不复保持。转换后的空间用笛卡儿直角坐标体系来表示,形成了对立色坐标表述的心理颜色空间。在这一坐标系统中,+a表示红色,-a*表示绿色,+b*表示黄色,-b*表示蓝色,颜色的明度由L*的百分数来表示。
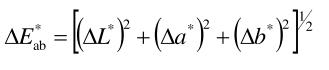
两个按L*,a*,b*标定的颜色,两者之间的总色差△E(L*a*b*)由下式计算:

式中△L*称为明度差,△a*称为红绿色品差,△b*称为黄蓝色品差。
色差仪a/△a、b/△b值怎么分析?什么关系?
2026-02-06
颜色表示系统之中国颜色体系是怎么表示颜色的?
2026-02-04
YS4560 plus分光测色仪测硅胶色差告别凭眼猜色差
2026-01-30
标准光源箱TL84荧光标准光源光谱是怎样的?
2026-01-28
扫描二维码分享到微信