2025-12-31
CIELab均匀颜色空间是色差仪等颜色测量仪器中常用的测色系统,该测色空间用L、a、b三个维度对颜色进行描述,且以空间之间的几何距离来对颜色表示颜色差异值。那么,CIELab均匀颜色空间色差值是怎么计算的?下文为大家做了介绍。

CIELab(L*a*b*)颜色模型是基于人对颜色的感觉建立起来的。Lab中的数值是描述正常视力的人能够看到的所有颜色。在Lab颜色空间中一个很小的颜色变化都可以通过人眼察觉出来。从Lab模式的概念中可以知道,L表示的是颜色的亮度,a通道显示的是从深绿——50%灰(中性灰)——亮粉红色。在这个通道的灰度图中,暗部表示的是绿色,小于128灰即50%灰为绿色,灰度值越接近50%灰,绿色的饱和度越小,灰度值越远即灰度值越小于50%灰,绿色的饱和度就越高,亮表示亮粉红色大于128度(或者是50%灰(中性灰))亮部显示图片的红色部分,越亮,饱和度越高,反之,接近中性灰(较暗的亮区)数值越接近128度灰,饱和度越小。b通道显示的是从亮蓝——50%灰(中性灰)——黄色,通道灰度图的亮区是黄色区域,亮度越高,饱和度越高,越接近50%中性灰,饱和度越低,通道灰度图的暗部为蓝色区域,显示区域越暗,饱和度越高,越接近50%中性灰,蓝色饱和度越低。这里给出一个提示,利用变暗模式组和变亮模式的组合可以通过计算或者应用图象混合通道来替换通道数值从而进行调色,调色的方式有很多,根据每个人的喜好,各有不同,当然也可以用叠加模式来改变数值,看会出现什么样的效果,总是会发现一些东西的。
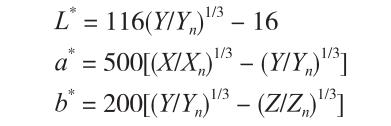
CIELab颜色空间是CIE1931XYZ标准色度学系统的非线性变换,它将XYZ直角坐标颜色空间转换为柱面极坐标,将三刺激值XYZ转换成与眼睛视觉相一致的明度L*和与色调、饱和度的感觉相一致的a*、b*。由CIEXYZ空间向L*a*b*颜色空间转换的公式为:

其中,在上面的公式中,X、Y、Z指的是物体的三刺激值,这三个属性值是在海明对立坐标理论的基础上建立起来的。Xn、Yn、Zn表示的是CIE标准照明体先照射在完全反射漫反射体上,再经其反射到人们眼中的白颜色物体的三刺激值。光源和观察者的条件分别以D65和10°条件为佳。在不同的光源以及观察者条件下,三刺激值是不同的。若采用D65标准照明体Xn=94.811,Yn=100.00,Zn=107.304。
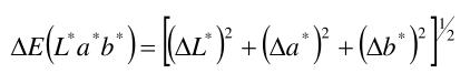
在CIELab均匀颜色空间中,两个颜色之间的色差△E*ab为:

相应的明度、彩度、色调的近似相互关系式由下式计算:
CIELab明度计算式:L*=116(Y/Yn)1/3-16(Y/Yn)>0.008856
CIELab彩度计算式:C*ab=[(a*)2+(b*)2]1/2
CIELab色调角计算式:hab=aretan(b*/a*)
CIELab色调差计算式:△H*ab=[(△E*ab)2-(△L*)2-(△C*ab)2]1/2
若表明h在增加时,H看作正;若表明h在减少时,H看作负。
色差仪a/△a、b/△b值怎么分析?什么关系?
2026-02-06
颜色表示系统之中国颜色体系是怎么表示颜色的?
2026-02-04
YS4560 plus分光测色仪测硅胶色差告别凭眼猜色差
2026-01-30
标准光源箱TL84荧光标准光源光谱是怎样的?
2026-01-28
扫描二维码分享到微信