2026-01-16
CIERGB颜色空间以红(R)、绿(G)和蓝(B)三种基本颜色为基础,三种颜色进行不同程度的叠加,能够产生丰富的颜色,因此 RGB颜色空间又被称为三基色模型,是颜色量化分析中比较常用的一个颜色空间。那么,色差仪CIERGB颜色空间是怎么表示颜色的?本文对色差仪CIERGB颜色空间做了简要的介绍。

RGB颜色空间以红(R)、绿(G)和蓝(B)三种基本颜色为基础,三种颜色进行不同程度的叠加,能够产生丰富的颜色,因此RGB颜色空间又被称为三基色模型。在该模型中,R、G、B分别位于3个角上,黑色位于原点处,白色位于离远点最远的对角点处,灰度级沿着这两点的连线分布。在该模型中,不同的颜色处在立方体上或者在其内部,并且可以用从原点分布的向量来定义。即每一种颜色可以用红、绿、蓝三个颜色分量的坐标来表示,如(0,0,0)表示黑色,(160,32,24)表示紫色,(0,255,0)表示绿色,(255,255,255)表示白色等。若将颜色值进行归一化,原立方体就变成一个单位立方体,所有的R、G、B值都取值范围在[0,1]内。
RGB颜色空间采用物理三原色对颜色进行表示,这种方式比较简单,但给定任意一个R、G、B值,无法准确知道所表述的颜色,并不符合人的视觉特点。而且RGB颜色空间不是一个均匀的颜色空间,即空间坐标上等距离的两点并不能表示出颜色的差异性,因此,RGB颜色空间并不适合用作色差检测。通过借助特定的数学手段,对于RGB颜色空间中的颜色值,能够很容易地转为其他的颜色空间中的颜色值。
RGB颜色空间中两个颜色以两者之间的空间距离作为色差值,假设两个坐标分别为xi=(ri、gi、bi)和xj=(rj、gj、bj),两者之间的色差为:

该式表示的色差值是通过两个颜色的空间距离来体现的。因此若要使结果正确,则必然要求RGB颜色空间是一个均匀的颜色空间,即每个颜色的等色差颜色应在RGB颜色空间中成一个球面,且不同位置的等色差颜色对应该表现出相同的差异。但是这种情况在整个RGB颜色空间中并不成立,直接以空间距离表示的色差不符合人的视觉感受。
由于RGB颜色空间不是均匀颜色空间,按照空间距离得到的色差并不完全符合人的视觉,在实际应用时经常采取给各颜色分量加上一定权值的办法,如下式所示:

wr、wg、wb是加权系数,多数文献中(wr、wg、wb)取值为(3,4,2)。
由于RGB颜色空间的不均匀,相关人员试图通过加权的方式来解决这个问题。权值的定义是根据人眼对红、绿、蓝三原色敏感程度的不同。通过调整RGB颜色空间,部分补偿其非均匀性。在以往文献中,关注的重点大多集中于所处理的某类简单图像,以至于加权系数各种各样。并且由于RGB三个分量的不独立性,三个坐标轴上的色差规律并不能简单地推广到整个颜色空间。另外算法的改进程度也是有限的,各种实验结果也证明了并非各种加权算法总是优于非加权算法。因此,人们由引入了RGB角距离色差公式。
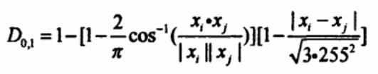
假设RGB空间任意两个颜色,坐标分别为xi=(ri、gi、bi)和xj=(rj、gj、bj),其色差定义为:

该色差公式考虑了待比较颜色间的角度差,实验证明它比上面两个色差公式对RGB色差的度量有一定的改善,但是效果也不够理想。
色差仪a/△a、b/△b值怎么分析?什么关系?
2026-02-06
颜色表示系统之中国颜色体系是怎么表示颜色的?
2026-02-04
YS4560 plus分光测色仪测硅胶色差告别凭眼猜色差
2026-01-30
标准光源箱TL84荧光标准光源光谱是怎样的?
2026-01-28
扫描二维码分享到微信